关联的阶段目标记忆障碍和淀粉样的宠物和结构磁共振成像
A4的研究
文摘
背景和目标这项工作的目的是探讨神经影像相关阶段的客观的记忆障碍(SOMI)系统实施与自由和选择性提醒测试(FCSRT)暗示,一种广泛使用的情景记忆。
方法FCSRT始于研究阶段的项目(例如,葡萄)识别响应独特的语义线索(例如,水果)中使用的测试阶段及时召回项目不是由自由回忆检索。有三个测试的16项(最多48)。4484种抗体治疗的认知没有参与者的数据在无症状的老年痴呆症(A4)的研究。所有的参与者有淀粉样PET成像,和1262年的一个子集β-amyloid (Aβ)阳性结构核磁共振成像。我们比较了Aβ意味着皮质标准摄入值比率(SUVR)和海马体积的措施,海马旁回,内嗅皮层,伪劣颞叶皮层之间的5 SOMI阶段。
结果参与者平均年龄71.3(标准差4.6)年;40.6%是男性;而34.6%的人APOEε4积极。一半没有记忆障碍;另一半有检索赤字,存储限制,或两者兼而有之。在整个样本协方差分析,而控制了年龄、性别、教育、和APOEε4表明个体在高等SOMI阶段有更高的全球SUVR淀粉样蛋白(p< 0.001)。淀粉样蛋白SUVR SOMI-4和3组有高于SOMI-0 SOMI-1子组。个人在高等SOMI阶段小海马体积(p= 0.003),内嗅皮层(p< 0.05)、伪劣颞叶(p< 0.05),但没有区别不同SOMI阶段的海马旁回卷。SOMI-4 SOMI子组的两两比较显示,3,2组有小海马体积比SOMI-0和1组。SOMI-4子群有显著内嗅皮层和下颞叶较小相比其他组。
讨论阿尔茨海默病的病理密切相关记忆障碍根据SOMI阶段A4的认知没有样品。来自结构的核磁共振成像结果表明记忆储存障碍(SOMI-3和4)当人们普遍存在内侧颞叶萎缩。
试验注册信息ClinicalTrials.gov标识符:NCT02008357。
证据的分类本研究类我提供证据证明,在正常的老年人,更高阶段的记忆障碍评估与FCSRT高出与淀粉样蛋白成像负担和降低海马的体积,内嗅皮层,伪劣颞叶。
术语表
- Aβ=
- β-amyloid;
- 广告=
- 阿尔茨海默病;
- A4=
- 种抗体治疗无症状的老年痴呆症;
- BLSA=
- 巴尔的摩衰老的纵向研究;
- 东亚峰会=
- 爱因斯坦老化研究;
- FCSRT=
- 自由和暗示选择性提醒;
- FR=
- 自由回忆;
- 赤潮=
- 哈佛大脑老化的研究;
- 学习=
- 纵向评价淀粉样蛋白和神经退行性变的风险;
- LMDR-IIa=
- 逻辑内存延迟回忆;
- MCI=
- 轻度认知障碍;
- 扣带皮层部位=
- 临床前阿尔茨海默症的认知复合;
- pFCSRT +红外=
- 图片版本的FCSRT包括立即召回;
- SOMI=
- 阶段的客观的记忆障碍;
- SUVR=
- 标准摄入值比;
- TR=
- 总记得
表现在自由和暗示选择性提醒(FCSRT)定义了什么是有时被称为核心阿尔茨海默病(AD)的临床表型,记忆障碍,无法矫正的有效编码和检索过程。1,2这种表型也被称为海马的遗忘综合征类型,因为它与在内侧颞叶结构变化,特别是海马及其分支学科。3许多研究报道广告生物标志物之间有着紧密的联系,包括神经影像学和CSF淀粉样蛋白生物标志物,τ,和神经退化和2主要FCSRT措施:自由回忆(FR)和宇宙威龙(TR)、FR和线索回忆的总和。4,- - - - - -,11
FCSRT有效识别流行痴呆;预测事件发生轻度认知障碍(MCI),老年痴呆症,和广告;和各纵向区分广告和non-AD痴呆老龄化人群12,- - - - - -,18因为学习的测试控制条件。在研究阶段,参与者被要求识别项(例如,葡萄)针对独特的语义线索(水果);在测试阶段使用这些线索提示回忆的物品没有被FR检索。19与被动地听项目介绍了传统单词表学习测试,FCSRT需要积极的认知参与和深层语义处理。通过协调条件类别的编码和检索线索,FCSRT优化编码特异性和最大化召回。20.
而受损的FR预测事件的广告在几个纵向老化军团,12,15,18,21这不是优化识别β-amyloid (Aβ)在认知正常个体的地位。22克服这种局限性和识别参与者在早期临床前的广告点轨迹,我们开发了阶段目标记忆障碍(SOMI)系统,它提供了实用的分类达标的参与者为1的5阶段FR和TR的评分(表1)。23利用爱因斯坦老化研究(EAS)数据,我们调查是否SOMI系统有效地识别个体的风险事件。我们表明,第一个3 SOMI阶段(0 - 2)SOMI通常先于临床痴呆5到8年和refllect增加检索困难,下降FR的上下文中所示完整TR。未来两SOMI阶段(SOMI−3−4)先于临床痴呆≈1到3年;在这些阶段中,标记无法恢复所有的东西错过了FR。SOMI个人FR和TR分数的优势是,它将检索障碍从内存中存储的测量损伤。因为这些过程分解在不同的点在predementia阶段,能够区分他们允许参与者估计的沿着广告连续阶段的疾病。
我们最近发现,参与者的图片版本的FCSRT包括立即召回(pFCSRT + IR)性能分类作为SOMI-2(温和的检索障碍)的风险事件的广告(个人通信,Drs。林恩郭和齐齐,2021年11月31日)。巴尔的摩纵向研究的1508名参与者的老化(BLSA)免费痴呆的基线,平均85个人开发广告> 8年的随访。使用贝叶斯联合建模和所有观察到的评估,我们发现SOMI(83% - -86%)的诊断准确性优于单独FR(72%)或FR的总和+ TR(71%)在确定事件广告后3、5和7年的随访中,展示的优势SOMI个人FR和TR的分数。
SOMI系统可以用作筛选在临床试验中如果性能与淀粉样蛋白的临死前的生物标志物,τ,和神经退行性变的用于国家Aging-Alzheimer协会研究所研究框架。24因为pFCSRT + IR目前用于种抗体治疗无症状的老年痴呆症(A4)的研究25和prerandomization数据是公开的,我们可以把参与者分成SOMI阶段。这允许我们检查协会与宠物SOMI淀粉样使用体积MRI成像和神经退化。我们预测,参与者在更高的阶段(SOMI-3和4)将有更高的全球淀粉样蛋白沉积和海马萎缩亚区比参与者没有或轻微损伤(SOMI-0和1)。
方法
参与者
A4是一个多中心的临床试验进行在美国,加拿大,澳大利亚和日本。筛选过程一直在前面描述的细节。18总之,筛查合格的参与者是65到85岁,评估认知正常,独立生活,有一个研究伴侣能够提供关于日常生活的信息认知功能在一个年度的基础上。参与者以非常低(≤1.5低于标准SD)逻辑内存延迟回忆(LMDR-IIa)成绩消除MCI患者被排除在外。参与者具有很高(> 1.5 SD以上规范)LMDR-IIa分数被排除在外后筛选访问1提高入学率的参与者迫在眉睫的认知能力下降的风险与AD病理相关。参与者与临床痴呆评定得分为0的细微精神状态检查得分25到30,LMDR-IIa 6到18分都有资格进入florbetapir PET成像。
FCSRT评估
阶段pFCSRT + IR的研究中,参与者被要求搜索包含4线卡图纸(如葡萄)一个项目与一个独特的类别提示(如水果)。一个刺激因素是包含在补充材料(eFigure 1,links.lww.com/WNL/B804)。所有4项被确定后,立即召回那些4项测试。研究阶段是重复16图纸。3试验的测试阶段由FR每个线索回忆紧随其后的物品不检索FR(最大得分48)。参与者被分为不同SOMI子组使用FR的分数范围和TR(笔FR和线索回忆)所示表1。
淀粉PET成像
在筛选,参与者接受了淀粉PET成像获得florbetapir f - 18和测量平均比皮质标准吸收值(SUVR)和小脑参考区域。26我们使用定量SUVR阈值≥1.10定义的淀粉样蛋白积极性(Aβ+)。27
MRI体积
只有一个子集的参与者Aβ+接受结构磁共振成像在基线的访问。因此,体积MRI措施可供1262 Aβ+参与者。体积测量不同的皮质和皮质下区域计算自动为所有参与者FreeSurfer 6.0。28本研究之目的,在半球体积措施崩溃和调整估计颅内总额。
统计分析
与SPSS统计分析完成版本25 (SPSS . n:行情)、芝加哥、IL)和Python版本3.9 (Python软件基金会,弗雷德里克斯堡,弗吉尼亚州)。样品用χ考察SOMI群体特征差异2测试分类变量和连续变量的方差分析(2站,p< 0.05)。我们使用协方差分析比较生物标记的值SOMI组占年龄,性别,教育,和APOEε4地位。事后两两比较Sidak校正进行了评估SOMI定义的组间差异,和价值观p> 0.005被认为是重要的(α= 0.05,10组比较)。
数据可用性
匿名数据公开任何合格的调查员通过LONI网站(ida.loni.usc.edu/login.jsp?project=ADNI)。
结果
样本特征
总共4484成年人认知没有被包括在这项研究中,和体积MRI是可供1262 Aβ+参与者。参与者平均年龄71.3(标准差4.6)年,男性,40.6%,16.6年的教育;34.6%的人APOEε4积极。FR是29.0 5.59 (SD)和TR是47.4(标准差0.9)。
表2总结了样本特征和分类的参与者为SOMI阶段。参与者在高等SOMI阶段年龄(F= 44.7,p< 0.001),更有可能是女性(F= 54.0,p< 0.001)。SOMI组没有教育或相对频率的差异APOEε4地位。总共有162(3.6%)人不能由SOMI系统分类检索是受损但存储受损。相比Aβ−个人列为SOMI-0或SOMI-1,这些分类在SOMI-3或SOMI-4老(p所有比较p < 0.001),更有可能是女性(p< 0.001),但他们没有在教育差异。表3总结的特点Aβ−和Aβ+个人根据SOMI阶段。
淀粉样蛋白水平的差异
在整个样本协方差分析表明,个体在高等SOMI阶段有更高的全球SUVR淀粉样蛋白(F= 8.4,p< 0.001)。具体地说,那些在SOMI-4高淀粉样比SOMI-0 SUVR, 1和2 (p< 0.001)个人在SOMI-3淀粉样比SOMI-0 SUVR(较高p< 0.001)和SOMI-1 (p= 0.003)。个人之间没有区别淀粉样SUVR SOMI-0 SOMI-1。(图1一个)。分层样品到Aβ−和Aβ+子组评估阈下和阈上的淀粉样蛋白SUVR SOMI阶段之间的区别。在阈下的水平(Aβ−),淀粉样SUVR SOMI阶段之间没有明显不同。超阈值的水平(Aβ+),这些在SOMI-4淀粉样SUVR高于个人SOMI-0 (p< 0.001)和SOMI-1 (p= 0.002),这些在SOMI-2 SOMI-3阶段和高淀粉样比SOMI-0 SUVR (p= 0.002)(图1 b)。
MRI体积差异的措施
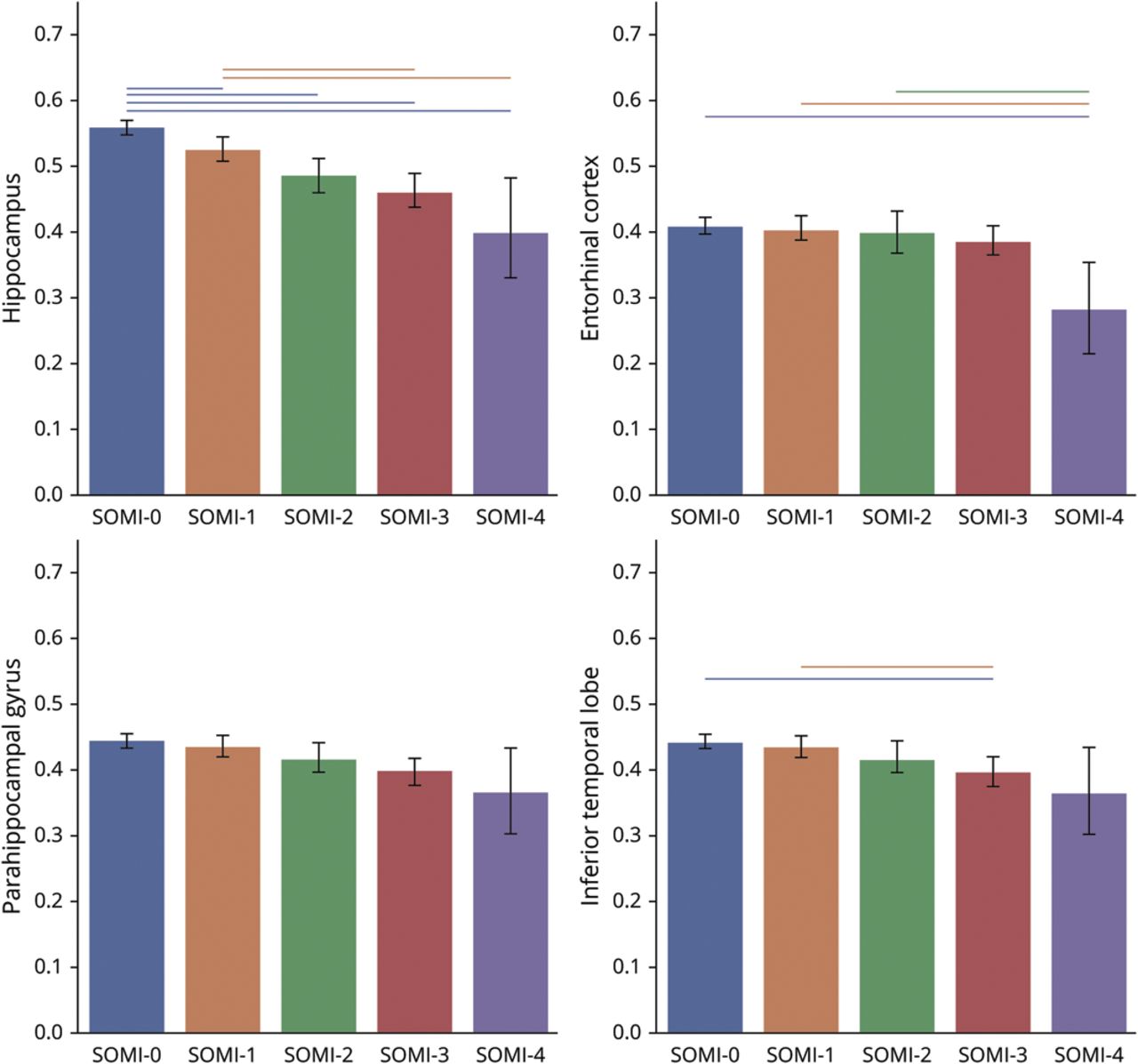
单变量分析占了年龄、性别、教育、和APOEε4表明个体在高等SOMI阶段小海马体积(F= 3.66,p= 0.003)(图2)。两两比较显示,那些在SOMI-0最大的海马体积与所有其他群体(SOMI-1相比p= 0.002;SOMI-2 3和4p< 0.001)。个人SOMI-1也有较大的海马体积比SOMI-3 (p<措施)和SOMI-4 (p< 0.001)。在海马体积个人之间没有区别SOMI-2和SOMI-3 (p= 0.202),SOMI-2和SOMI-4 (p= 0.026),或者SOMI-3 SOMI-4 (p= 0.102)。增加淀粉样SUVR单变量分析作为协变量减毒的差异;然而,SOMI子组之间的差异仍然是重要的(F= 3.24,p= 0.007)。
之间没有显著差异SOMI子组之间的海马旁回卷。小内嗅皮层(SOMI更高的阶段F= 2.25,p= 0.047)和下颞叶(F= 2.39,p= 0.036)。事后分析表明,那些SOMI-4 SOMI-0比个人小内嗅皮层(p< 0.001),SOMI-1 (p= 0.002)和SOMI-2 (p= 0.005),但没有区别其他子组内嗅皮层卷。此外,事后分析表明,参与者在SOMI-3较小的差比参与SOMI-0颞叶(p< 0.001)和SOMI-1 (p= 0.004)。增加淀粉样SUVR单变量分析作为协变量并不影响子组之间的显著差异观察。
证据的分类
本研究类我提供证据证明,在正常的老年人,更高阶段的记忆障碍评估与FCSRT高出与淀粉样蛋白成像负担和降低海马的体积,内嗅皮层,伪劣颞叶。
讨论
SOMI系统不同的上下文中检索损伤在临床前广告完整的记忆储存的记忆储存损伤发生后广告连续。我们使用FR和TR pFCSRT得分+ IR分类从A4研究参与者SOMI阶段。样品被筛选临床痴呆评定全球得分为0的25到30的细微精神状态检查评分,和一个LMDR-IIa 6到18分。即使在这个示例中,广泛筛选与认知障碍的识别和消除参与者,包括基于延迟的故事回忆记忆障碍,511 4484年SOMI-3或4(11.4%),表明他们都内存检索和存储基于FCSRT损伤。这表明FCSRT检测记忆障碍在一个表面上认知正常组。
我们检查了协会SOMI阶段与全球淀粉样蛋白的水平。在整个队列SOMI阶段增加,参与者的比例Aβ+也增加了。Aβ+个人之间,那些高等SOMI阶段全球淀粉样蛋白水平较高。个人SOMI-3和4(存储和检索赤字)水平明显高于淀粉样蛋白相比,个体在早期SOMI阶段(那些没有内存或轻度受损检索)。这些发现表明,患者记忆障碍SOMI探测到在这个“认知正常”小组有一个生物的基质认知障碍;较高的淀粉样蛋白与并发相关存储和检索赤字。
SOMI阶段之间的关系和内侧颞叶萎缩亚区补充SOMI和全球淀粉样蛋白水平之间的关系。只有Aβ+个人接受结构磁共振成像在基线,提供体积海马体的措施、海马旁回、内嗅皮层和下颞叶皮层。体积测量的关系SOMI阶段不同措施包括:(1)从1 SOMI进展阶段到下一个水平增加的有关海马萎缩;(2)个人障碍的内存存储(SOMI-3和4)显示更大的下颞叶皮层萎缩相比那些没有储存障碍;和(3)内嗅皮层萎缩是目前只在个人SOMI-4相比,那些没有在其他阶段有所不同。
我们的研究结果表明,即使在个人认知障碍筛查中,海马萎缩明显与检索Aβ+子组而不是储存障碍。之前的研究表明,海马体积萎缩可能是由于广告最早的神经退化的迹象。29日,30.存储器的发展障碍与下颞叶皮层萎缩,但体积亏损内嗅皮层发生SOMI-4只有先进的存储问题。
我们希望SOMI阶段和MRI容量说明之间的关系可能会较弱的样本不是淀粉样积极筛查。这是一个普遍性的限制我们的结果由A4的设计研究。体积数据目前只有amyloid-positive个人在A4的研究中,但一个平行研究(纵向评价淀粉样蛋白和神经退行性变的风险(学习)队列)跟踪是一个小样本(N = 600) A4 amyloid-negative个体的研究,我们希望使用样本数据进行后续研究。
SOMI阶段显示类似的关系,海马体积和τPET成像的嗅伪劣颞皮层哈佛衰老的大脑研究的参与者(赤潮)。31日意味着在SOMI-3海马体积为个人和4结合在SOMI-0小于为个人,1和2。意味着劣质时间τSOMI-3和4 SOMI-0和1相比,高和平均内嗅τSOMI-3和4 SOMI-0相比较高。在一起,这些结果表明,记忆储存障碍存在时普遍的内侧颞叶病变。
在这项研究中,淀粉样积极性在所有参与者的基准利率是32%。淀粉样蛋白的积极性是0 30%阶段,第一阶段为31%,35%,第二阶段,第三阶段为40%,第四阶段为44%。敏感性分析表明,SOMI系统可以添加增量价值使用单一FR和TR截止识别amyloid-positive个人。预测最优Youden基于索引分界点Aβ积极性的FR 30 (FR≤30 Aβ+ = 35.2% vs Aβ+ = 28.2 FR > 30)和TR是47 (TR Aβ+ = 35.7≤47和Aβ+ = 29.5 TR = 48)。个人在SOMI-3和SOMI-4阶段有较高的淀粉样蛋白积极性(分别为40.0%和43.8%)。尽管SOMI阶段没有消除对淀粉样蛋白筛选的需要,它提供了一个战略增加淀粉样蛋白的产生积极接受生物标志物评估。
这些数据属于amyloid-targeted疗法的研究。为试验目标其他病理机制(例如,τ),当数据可用时,我们会评估利率SOMI阶段优化τ积极性的抽样设计。然而,随着广告的许多失败的试验,表明目标病理学(即。,amyloid) and even the successful removal of it from brain (e.g., aducanumab trials) do not guarantee trial success. Using sensitive clinical tests such as SOMI and Preclinical Alzheimer Cognitive Composite (PACC), which are proven to be effective tests for detecting early and late cognitive decline during the preclinical stages of AD, in combination with biomarkers can lead to improved trial design.
赤潮的最近的一项研究表明,Aβ+认知正常的个人证明纵向下滑对所有个人扣带皮层部位组件和扣带皮层部位的变化。32差异Aβ+和Aβ−组出现当FCSRT FR是包含在早些时候扣带皮层部位。FR单独或结合TR是唯一的单个组件的扣带皮层部位显示差异Aβ+集团发展到临床痴呆评定得分0.5和那些保持稳定。这些发现支持这一概念,使用FSCRT-derived SOMI探测早期和晚期系统可以提高我们的能力在临床前阶段的广告认知能力下降,这可能有利于预防实验的设计。
在临床试验中,我们设想SOMI可以作为标准优先登记的参与者。最优标准样品浓缩基于SOMI取决于试验的设计,它的持续时间,其目标。一种方法可以使用SOMI分段选择参与者更可能是淀粉样前积极评价与昂贵或侵入性生物标志物如PET扫描或CSF-based生物标志物。SOMI-3和4组更可能是淀粉样蛋白阳性;然而,为生物标志物评估选择SOMI-3和4个人都有自己的缺点。虽然这种方法会增加生物标志物积极性率和降低成本的生物标志物评估登记之前,它也需要认知与FCSRT筛选更多的个人,这可能会减缓招聘和限制结果的普遍性那些SOMI-3和4在入学的时候。
另一种方法可能是招收人SOMI-1或更大。虽然这种方法有最小值的浓缩样品与amyloid-positive个人之前获得淀粉样宠物,从我们以前的研究中,这组料显示更快的认知能力下降和事件痴呆在较短的时间内,这是更适合试验。21,23在东亚峰会,我们表明,142名参与者开发广告在未来10年,平均诊断时间是7年如果FR是完整> 30 (SOMI-0), 5年如果SOMI-1,如果SOMI-2 4年,2年,如果SOMI-3和4。23的轨迹FR的临床前广告连续下降BLSA参与者与SOMI预测是相一致的。FR逐渐下降,开始在7年,直到有一倍的速度FR≈4年后下降。21从这些结果,我们认为在审判时间痴呆是端点,SOMI系统将重要的信息,可以用来匹配的特点,符合样品的设计和持续时间的研究。鉴于长期SOMI-0集团发展为痴呆的记忆衰退的预期利率很可能太慢展示在任何现有的临床试验治疗的好处。
SOMI系统也可以通知临床试验设计作为一个结果测量。SOMI-3高度与广告相关的神经病理学定义为当前的指导方针33和神经原纤维缠结病理定义为Braak Braak。34相比,参与者没有记忆障碍(SOMI-0),参与者分为SOMI-3和4阶段是4倍有积极的广告神经病理学和近6倍有更高级的神经原纤维缠结Braak病理学。使用转换从早期到SOMI-3作为结果与生物标记可能是一种有效的方法来减少时间的积极治疗试验。
应该注意的是,我们不相信FCSRT捕获是独一无二的。其他记忆测试也有效地预测事件MCI和痴呆。35,36然而,存储和检索的区分能力的措施和控制认知过程可以提供特殊的好处。由我们集团和其他许多研究表明FCSRT认知测试的检测是一个敏感的记忆障碍的迹象在存储和检索前驱的阶段,广告和其他痴呆。15,- - - - - -,18SOMI分期提供了一个实用的系统分类(图),可用作设计未来的介入研究的一部分。
另一种方法来识别人的最早阶段广告包括使用至少2测试多个域的单个域或单一测试除了特定内存参数(例如,学习坡)。37,38这种方法有理论的优点和缺点在我们的方法,这依赖于一个单一的认知测试。我们预计不会出现早期和晚期MCI和SOMI阶段之间的重叠。这些方法相比没有交头接耳地简单,易于使用,为生物标记物预测效度或认知能力下降。
在这项研究中值得注意的是有限制的。的参与者,3.4%不能分为SOMI阶段,因为他们的检索受损但记忆储存受损。我们计划在我们未来的学习这一独特的群体特征研究。在临床试验的设置中,筛选与FCSRT先于生物标志物评估,排除非机密的参与者,直到我们更好地了解他们可以改善结果通过减少参与者的数量不显示核心临床记忆广告表型。A4的研究是一个预防试验;因此,所有参与者PET扫描在认知正常基线。不包括参与者LMDR-IIa标准很高(> 1. sd)从A4试验稍微影响了我们研究的普遍性。然而,即使在排除这些参与者,示例包括一个大范围的个体之间的认知能力正常根据当前的金标准诊断标准。另一个限制是高教育水平的群体。我们希望能跟进这项研究在将来更多元化的群体来确认其推广到其他样品。
在这项研究中,我们使用一个非常大的数据样本的老年人。在使用大型数据集通常被认为是一个优势在流行病学研究中,还提出了一个统计的挑战。在大样本,分析能力大大增加。这可能会导致一个夸大的倾向于拒绝零假设而不是临床或生物意义的差异。然而,我们的研究结果可能会被认为是健壮的,因为他们是假设驱动和符合文学和先前的研究在其他样品与不同的人群和不同的样本大小。4,6,- - - - - -,8,10,17最后,SOMI阶段和MRI容量说明之间的关系可能更弱样本而不是淀粉样积极筛查。
即使在高度选择的认知正常的老年人,AD病理密切相关的存在记忆障碍基于SOMI阶段。我们设想,SOMI未来的临床试验可用于浓缩。
研究资金
R.B.L.接收研究支持以下来源无关这手稿:5 u10 NS077308(π),一下R21 AG056920(研究员),1 RF1 AG057531(网站首席研究员(π)),RF1 AG054548(研究员),1 RO1 AG048642(研究员),R56 AG057548(研究员),U01062370(研究员),RO1 AG060933(研究员),RO1 AG062622(研究员),和1 ug3fd006795(多个π(mPI)), 1 u24ns113847(研究员)。R.A.S.接收研究国家衰老研究院的支持:P01 AG036694;R01 AG054029;R01 AG063689;R01AG053798;U24AG057437;K24 AG035007;阿尔茨海默氏症协会:学习- 15 - 338729;和临床试验研究礼来公司和卫材的支持。P.S.A.接收研究国家老化研究所的支持下,阿尔茨海默病协会,国家卫生研究院,研究基金会与莉莉和卫材的协议。 A.E. receives research support from National Institute on Aging K23 AG063993, 2PO1 AG003949, the Alzheimer's Association (2019-AACSF-641329), and Cure Alzheimer's Fund
信息披露
大肠grob收到一个小商业用途的皇室FCSRT + IR。R.B. Lipton接收研究支持以下来源无关这手稿:5 u10 NS077308(π),一下R21 AG056920(研究员),1 RF1 AG057531(网站π)RF1 AG054548(研究员),1 RO1 AG048642(研究员),R56 AG057548(研究员),U01062370(研究员),RO1 AG060933(研究员),RO1 AG062622(研究员),1 ug3fd006795 (mPI)和1 u24ns113847(研究员)。他拥有eNeura疗法和Biohaven控股股票期权;作为顾问或顾问委员会成员或收到Abbvie谢礼(爱力根),美国神经学、美国头痛学会安进,Avanir, Biohaven, Biovision,波士顿科学,Reddy博士的(Promius) Electrocore,礼来,eNeura疗法,半岛投注体育官网Equinox,葛兰素史克,Grifols, Lundbeck公司(桤木),它是一家默克Pernix,辉瑞公司Supernus, Teva, Trigemina,向量,和吠檀多;和收到版税沃尔夫的头痛7日和8日版牛津大学出版社,2009年,威利和Informa。R.A.斯珀林接收研究国家衰老研究院的支持:P01 AG036694;R01 AG054029;R01 AG063689;R01AG053798;U24AG057437;和K24 AG035007;阿尔茨海默氏症协会:学习- 15 - 338729;临床试验研究礼来公司和卫材的支持,和咨询费用从AC免疫,智慧,基因泰克,詹森,Cytox, Prothena,更新,Alnylam、Neuraly, Neurocentria。注:爱森收到研究国家老化研究所的支持下,阿尔茨海默氏症协会和NIH的基础; has research agreements with Lilly and Eisai; and receives consulting fees from Merck, Biogen, Abbvie, Roche, Rainbow Medical, Immunobrain Checkpoint, and Shionogi. A.E. Veroff receives consulting fees from Janssen and a small royalty for commercial use of some FCSRT materials. A. Ezzati serves as consultant or advisory board member for and has received honoraria from Eisai and PCORI Health Care Horizon Scanning Team. K.V. Papp has received funding from the Alzheimer's Association and the NIH and has served as a paid consultant for Biogen Idec and Digital Cognition Technologies. D.M. Rentz receives consulting and scientific advisory board fees from Digital Cognition Technologies, Biogen Idec, and Neurotrack. K.A. Johnson receives research support from the National Institute on Aging: P01 AG036694, R01 AG054029, R01 AG063689; R01AG053798, U24AG057437, R01AG054076, and R01AG049607; National Institute on Deafness and Other Communication Disorders: R01DC014296; Alzheimer's Association: LEARN-15-338729; clinical trial research support from Eli Lilly and Co, Cerveau, and Eisai; and received consulting fees from AC Immune, AZTherapies, Genentech, Janssen, Takeda, and Novartis. Go to半岛投注体育官网Neurology.org/N为充分披露。
承认
A4的研究是一个二级预防试验在临床前的广告,旨在减缓认知能力下降与大脑淀粉样蛋白积累临床正常老年人。A4的研究是由一个public-private-philanthropic伙伴关系,包括NIH-National老化研究所的资助下,礼来公司,阿尔茨海默氏症协会,加速药物伙伴关系,GHR基金会,一个匿名基金会和其他私人捐助者,实物狂热和Cogstate的支持。同伴观察学习研究是由阿尔茨海默病协会和GHR的基础。博士领导的A4和学习研究在布莱根妇女医院,雷萨-斯珀林哈佛医学院和保罗·爱森博士在阿尔茨海默氏症治疗研究所(阿),南加州大学。A4和学习研究协调由阿特在南加州大学,和数据可以通过神经成像实验室的南加州大学。A4的参与者筛选研究提供许可分享他们的鉴定数据预先寻求找到一个成功的治疗。作者承认所有的参与者的奉献,现场人员,和所有的团队成员合作继续使A4和学习研究成为可能。完整的A4研究小组在a4study.org/a4-study-team列表。
附录的作者
脚注
去半岛投注体育官网Neurology.org/N为充分披露。资金信息和披露认为作者相关的,如果有的话,年底提供这篇文章。
这篇文章加工费由作者。
类的证据:NPub.org/coe
- 收到了2021年6月22日。
- 接受的最终形式2022年1月3日。
- 版权©2022年作者(年代)。发表的Wolters Kluwer健康,公司代表美国神经病学学会。半岛投注体育官网
这是一个开放的分布式根据文章Creative Commons Attribution-NonCommercial-NoDerivatives许可证4.0 (CC BY-NC-ND),它允许下载和共享工作提供适当的引用。不能改变的工作以任何方式或使用未经许可的商业杂志。
引用
- 1。↵
- 2。↵
- 3所示。↵
- Sarazin米,
- ChauvireV,
- 吉赫尔丹E,et al。
- 4所示。↵
- 5。↵
- 因塞尔PS,
- •多诺休MC,
- 斯珀林R,
- 汉森O,
- Mattsson-CarlgrenN
- 6。↵
- 谢J,
- 税一个,
- Dorey一个,et al。
- 7所示。↵
- 8。↵
- Slachevsky一个,
- BarrazaP,
- 公司米,et al。
- 9。↵
- 10。↵
- 11。↵
- 伊扎提一个,
- 卡茨乔丹,
- Zammit基于“增大化现实”技术,et al。
- 12。↵
- 13。↵
- 卡茨乔丹,
- 利普顿RB,
- 大厅CB,et al。
- 14。↵
- 15。↵
- 迪斯蒂法诺F,
- Epelbaum年代,
- 绿青鳕N,et al。
- 16。↵
- LemosR,
- MarocoJ,
- 摄影记者先生,
- 圣地亚哥B,
- 托马斯J,
- 桑塔纳我
- 17所示。↵
- 18岁。↵
- 19所示。↵
- 20.↵
- TulvingE
- 21。↵
- 22。↵
- 23。↵
- grobE,
- VeroffAE,
- 利普顿RB
- 24。↵
- 25。↵
- 26岁。↵
- Pontecorvo乔丹,
- Arora正义与发展党,
- 迪瓦恩米,et al。
- 27。↵
- 28。↵
- 29。↵
- 卡拉斯G,
- SluimerJ,
- GoekoopR,et al。
- 30.↵
- 31日。↵
- grobE,
- PappK,
- 从D,et al。
- 32。↵
- Mormino电子商务,
- PappKV,
- 从DM,et al。
- 33。↵
- 海曼英国电信,
- 菲尔普斯CH,
- 海滩TG,et al。
- 34。↵
- 35。↵
- 36。↵
- 杜克大学汉年代,
- 阮CP,
- 斯特里克NH,
- 国家达
- 37岁。↵
- 托马斯。基米-雷克南,
- 埃德蒙兹电子商务,
- 埃皮格J,
- 大马哈鱼DP,
- 邦迪兆瓦
- 38。↵


